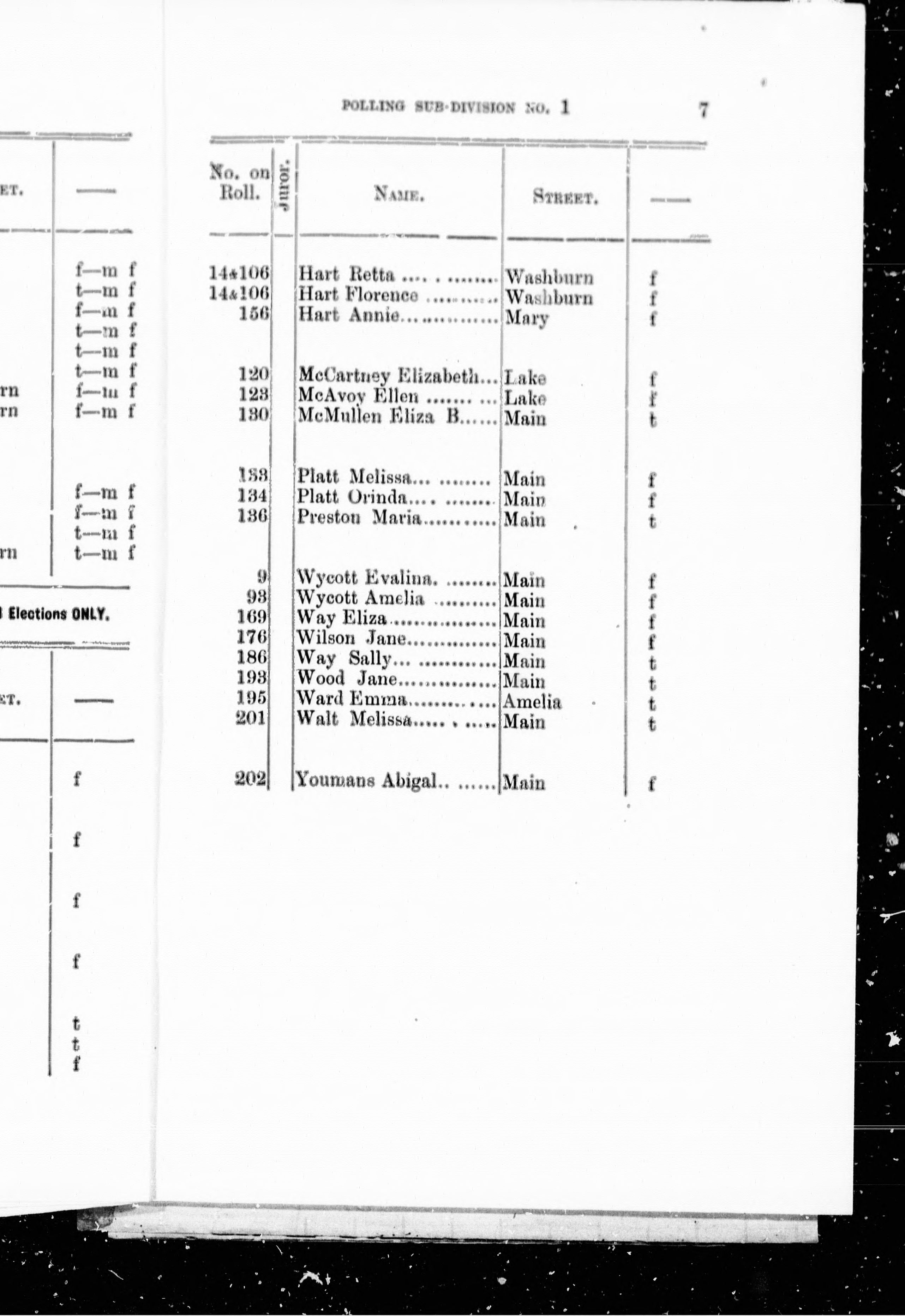
Voters' list, 1890 :
Cette collection numérique contient des images de documents historiques textuels. Un texte alternatif n’est pas disponible pour ces images.
Une erreur est survenue lors du téléchargement de cette image.
Pour obtenir de l'aide et des options de téléchargement supplémentaires, veuillez consulter notre page documentation
Aide
[Picton, Ont.? : publisher not identified], 1890.; 56 images, 54 avec recherche en texte intégral
Notice bibliographique du document
- Créateur
- Picton (Ont.)
- Titre
- Voters' list, 1890 : municipality of the town of Picton.
- Adresse bibliographique
- [Picton, Ont.? : publisher not identified], 1890.
- Identificateur
-
oocihm.62522
62522 - Sujet
-
Voting registers -- Ontario -- Picton.
Listes électorales -- Ontario -- Picton.
Picton (Ont.) -- Voting registers.
Picton (Ont.) -- Listes électorales. - Document original
- Electronic reproduction.
- Notes
-
Cover title.
Dated: Eighth day of August, 1890.
Signed: John Twigg, clerk of the municipality of the town of Picton.
49 pages ; 21 cm. - Collection
-
Monographies
- Langue
- anglais
- URL pérenne
- https://n2t.net/ark:/69429/m0kd1qf8pk1w