Influence of the railroads of the United States in the creation of its commerce and wealth /

Cette collection numérique contient des images de documents historiques textuels. Un texte alternatif n’est pas disponible pour ces images.

Pour obtenir de l'aide et des options de téléchargement supplémentaires, veuillez consulter notre page documentation

Aide New York : Journeymen Printers' Co-operative Association, 1869.; 47 images, 45 avec recherche en texte intégral

Notice bibliographique du document

Créateur
Poor, Henry V. (Henry Varnum), 1812-1905., author
Titre
Influence of the railroads of the United States in the creation of its commerce and wealth
Adresse bibliographique
New York : Journeymen Printers' Co-operative Association, 1869.
Identificateur
oocihm.55564
55564
Sujet
Interstate commerce.
Railroads -- United States -- Statistics.
Chemins de fer -- États-Unis -- Statistiques.
Commerce entre États fédérés.
United States -- Commerce.
États-Unis -- Commerce.
Document original
Electronic reproduction.
Notes
Signed: Henry V. Poor.
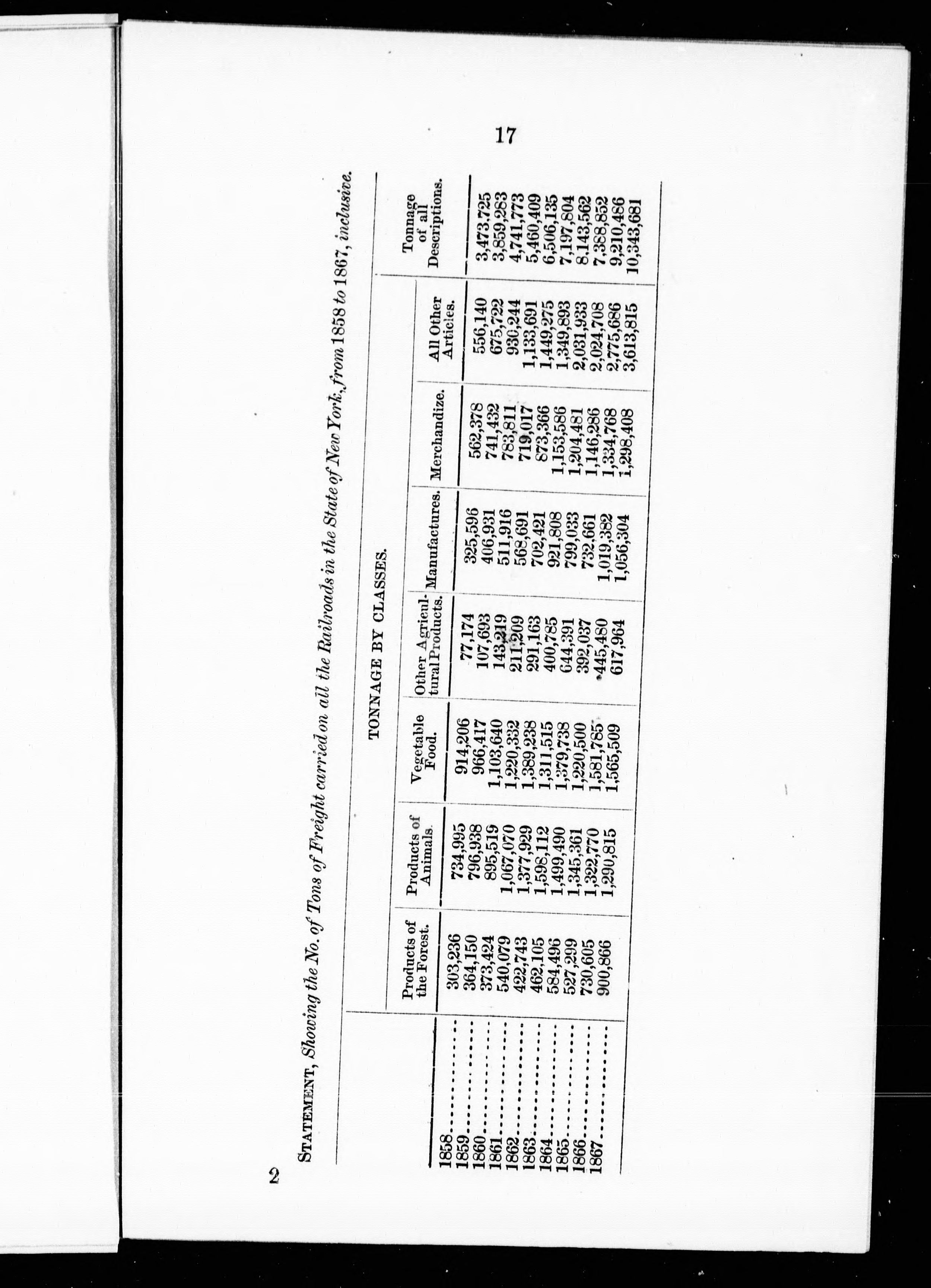
Tables.
42 pages ; 20 cm.
Collection
Monographies
Langue
anglais
URL pérenne
https://n2t.net/ark:/69429/m0416sx68160